近日,物理与光电工程学院(理工学院)光电工程系微纳光电信息与生物传感团队,在学科Top期刊《应用物理快报》(Applied Physics Letters)发表了题为“Reconfigurable Exceptional Pointsfor Adaptive High - Precision Sensing”的最新研究成果。论文的第一作者与第二作者分别为光电工程系本科生杨雨森、王曼诗,通讯作者为陈雷副教授、刘贵师副教授和罗云瀚教授。

论文首页
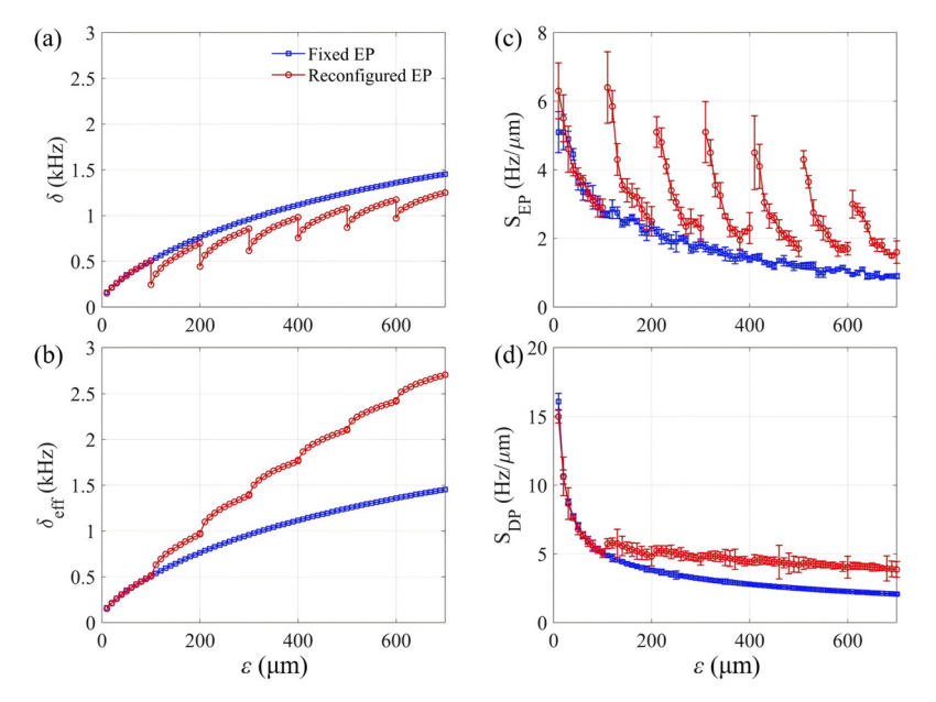
该团队提出了基于四波混频(FWM)机制的可重构奇异点(EP)传感方案,通过动态调节外部FWM注入信号,恢复系统的宇称时间反对称性与EP,从而实现传感的自适应。在传感器与磁靶标600μm范围内的轴向位移扰动情况下,可重构EP能够保持高灵敏度,最高比传统的固定EP方案提高3.5倍,适用于大动态范围的高精度测量。此项研究为高精度计量领域的自适应传感器开发提供了灵活的框架,能够有效推动下一代高精密传感技术的发展。

可重构奇异点及其灵敏度结果
该研究得到国家自然科学基金项目、广东省基础与应用基础研究基金等科研基金项目的资助。
文图:陈雷、罗云瀚
校对:杨嘉琳
初审:曾庆慧、肖艳芳
复审:孙玉环
终审:黄睿
